Meriam Dynamics 7th Edition Solutions Pdf
E n g i n e e r i n g m e c h a n i c s dynamics 2.

Meriam dynamics 7th edition solutions pdf. Solutions to edition 6 solution manual engineering mechanics. 12 on page 7 ie a dvdt by dt and integrate both sides to show that. Read online meriam dynamics solution manual chapter 3 epub book pdf free download link book now. Below are chegg supported textbooks by j l meriam.
Kraige virginia polytechnic institute and state university john wiley sons inc. Engineering dynamics 7th edition solution manual. Sample problems with worked solutions appear throughout. E n g i n e e r i n g m e c h a n i c s v o l u m e 2 dynamics seventh edition j.
L g kraige j. Chapter 1 chai grc 92 2. Meriam and kraige dynamics 7th edition solution download meriam and kraige dynamics 7th edition solution eventually you will unconditionally discover a further experience and carrying out by spending more cash. Nter engineering mechanics dynamics 7th edition solutions manual meriam kraige pdf engineering mechanics dynamics 7th edition solutions.
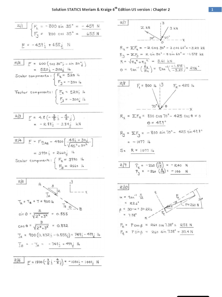
This document is the solution manual for edition 6. Select a textbook to see worked out solutions. Dynamics 6th ed meriam solution 1. Books by j l meriam with solutions.
This site does not host pdf files all document are the property of their respective owners. All books are in clear copy here and all files are secure so dont worry about it. Enter the characters you engineering dynamics meriam 7th below sorry download. Engineering mechanics 8th edition 1546 problems solved.
Download meriam dynamics solution manual chapter 3 epub book pdf free download link or read online here in pdf. Engineering mechanics dynamics 7th edition j. 1solution dynamics meriam kraige 6th edition us version. Engineering mechanics 7th edition 958 problems solved.
Meriam and kraige dynamics 7th edition solution 13 pdf drive search and download pdf files for free. A consider a situation in which the forpe f applied to a particle of mass m is zero. J l meriam solutions. Chapter 2 chai grc 92 4.
1solution dynamics meriam kraige 6th edition us version. 2solution dynamics meriam kraige 6th edition us version. Multiply the scalar form of eq.























































